The only time they are consistent is at the monthly meetings. The bullies led by the usual interrupter refused to allow Trustee Kaljur to offer a correction to the Oct. 18, 2018 minutes. The usual interrupter chimed in with a ‘point of order’ and then offered his opinion. When that didn’t work the usual interrupter called for a motion to accept the minutes – which they did! The interrupter is never prevented from interrupting – ever! Needless to say, it went downhill from there.
The interrupter even went after the press!! Suddenly, the interrupter – wannabe chair – decides no pictures are allowed. This is news to the media since they have attended numerous meetings and were never reprimanded before. That’s the way Union Bay is governed – the rules are applied based on whether you fall in line or are one of those pesky landowners who dare to question the big shots!
The Chair even states that Trustee Kaljur wasn’t at the October meeting. WTF?
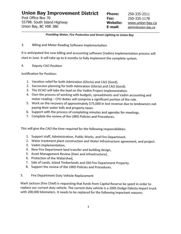
Note: this is audio only. There is a bonus audio before the meeting where we find out the new Deputy CAO doesn’t want to attend the meetings to cover for the CAO who was sick tonight. Gee – how come the employees are calling the shots these days? Trustee Kaljur asks about ‘succession’ – the Deputy CAO covering – low and behold – nope – the Chair and the other bobble heads all agree that wasn’t what was expected. Have a look at page 3 of the signed May 24, 2018 meeting minutes. Sure looks like it was justification at the time!
Ugh – typo in the text of the audio. My apologies.

