This twerp isn’t fooling anyone. Mr. brave when he’s in a group. Just like today, calling me a c_ _t showing off for his friends. Do you think Mr. brave would open his mouth if I were a man? Not a chance. So brave shooting off his mouth to a female senior on her own. How much courage does that take?
Certainly started running for cover when he was going to be facing questions from my lawyer in Examinations for Discovery for my lawsuit against him and his wife. Knew he wouldn’t be able to weasel out of the truth. Mr. brave caved and agreed to money and an apology but wanted the apology secret so no one would know what he had done. How ridiculous. Had to cave on that one too and it seems he can’t get over that apology. Typical.
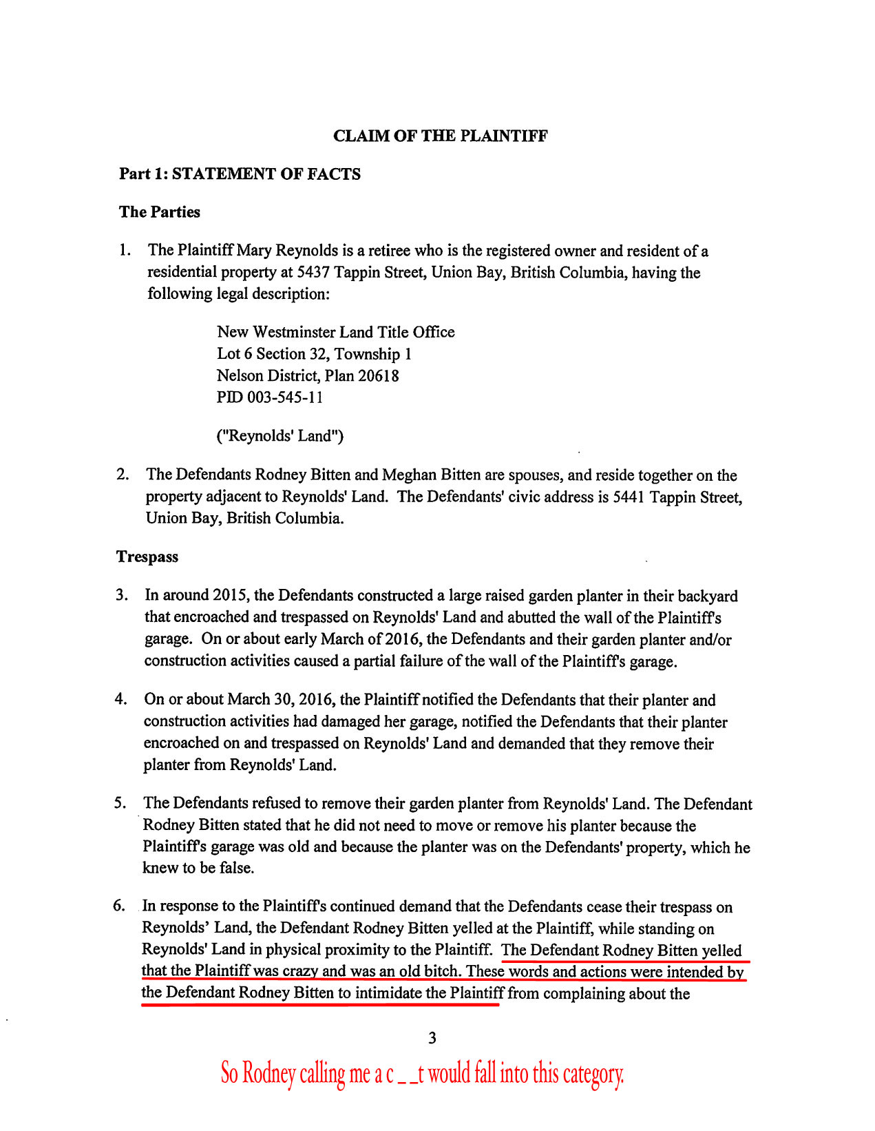
A page from the lawsuit.

Won’t be too hard to figure out the culprit if there is damage to my property now that the twerp is moving.
Typical. A couple of weeks ago one of Rodney’s buddies came on my property and took the apology sign from the side of my house. Gee – who could be upset about that sign with Rodney’s signature?
Just like they took the one below and seemed to be so upset they took the post too.

