NOTE: The legal opinion regarding Bylaw 264 was received July 12, 2017 from UBID’s lawyer and yet Trustee Kaljur stated she only received it Oct 12, 2017 – the day of the meeting. Another example of this Admin withholding documents from certain Trustees. It’s pretty obvious Kaljur was kept out of the loop since Bitten had his motion ready to kill Bylaw 264. KIP got his flunkies to keep that opinion secret so the new Water Agreement with KIP used the old Bylaw 176. KIP has been running the community since these tools were elected. Fire this Admin!!!
This is what an individual received from a Freedom of Information request regarding Union Bay Improvement District Bylaw 264. NOTE: it took two years to get this information. The first response was insufficient and the individual persisted and received this: https://drive.google.com/file/d/1RetkSslb0a0kiysRGAG6JuGRhhcT60Ny/view It’s a dog’s breakfast so you are going to have to use those brain cells to understand what has transpired. This bylaw was worked on over a 2 year period by the professional Administrator we had (what a loss) because the previous bylaw was so old and out of date – bylaw 176 from 2004 consolidated to bylaw 227 in 2010. https://drive.google.com/file/d/1RetkSslb0a0kiysRGAG6JuGRhhcT60Ny/view
The FOI has many duplicates and the emails are not always in order of date. It’s over 200 pages but it contains the bylaw and forms and regulations with emails every once in a while.
The Bylaw was approved by the board Chaired by Carol Molstad in March 2016. The Ministry wanted some changes and the Board approved it at the June 15, 2016 meeting. The Ministry failed to “register” it with the Inspector and kept stalling.
The following 2 pages have been extracted to show the Ministry wanted to know what concerns KIP had with a subdivision bylaw. WTF? Another example of the dirty backroom deals in favour of this sleazy developer by the Liberal Government – and those people are still there. Faganello, Mueller, etc. with their fingers on the scales in favour of KIP. Look at the bullet points for answers to be given when questions are asked.

“Jim” would be James Mattison, the facilitator appointed by Liberal Minister Fassbender before he was turfed. Why did the Ministry get involved when they claim they never interfere in local government? He was appointed because KIP threw a hissy fit when the honest board wouldn’t extend an expired agreement.

Then we have this page that mentions good ole Liberal Don McRae, a KIP buddy who refused to verify he attended the Nov. 2015 meeting with KIP, Jacques, Godfrey and Fassbender crying the blues. Look at the wording “Its mentioned there’s a building bylaw passed by UBID in late March 2016 and that its supposedly designed to severely limit potential development.” More sleaze from those who cater to this developer.

This is from the pro Kip candidates election flyer. Who do you think instructed them to claim there were problems with Bylaw 264? So in Mar. 2016 when the Ministry staff has been advised KIP has concerns over the bylaw – Loxam and Jacques speculate that “It is doubtful that his bylaw will be approved by the minister office, at least in it’s present form.” These two brainiacs didn’t come up with this on their own. They were just KIP flunkies.

Pages 3 and 4 from the June 15, 2016 board meeting https://drive.google.com/file/d/1LTnMk4-HTti0j9I4_HwMtaxv1M-cx_fK/view


So this is the board who claimed they were concerned over some of the bylaws and policies that were years old but instead of approving Bylaw 264 which had been worked on for 2 years, they used a bylaw that was from 2010 because KIP didn’t like the new bylaw. Pro KIP trustee Bitten put forth a motion to kill bylaw 264 to please a developer. We managed to remove 2 pro KIP trustees – two down – two to go. 🙂
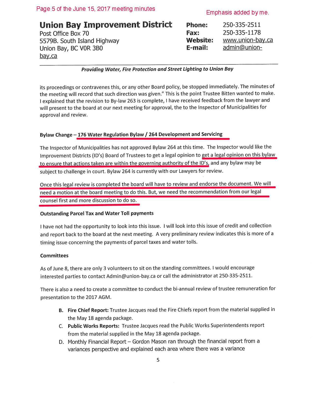
Bylaw 264 discussed at the June 15, 2017 meeting. They agree to get a legal opinion on the bylaw. https://drive.google.com/file/d/1V1P6wUeXcMWsoI_wTxgiBcd4AvTKJFfz/view

Then at the Oct. 12, 2017 meeting Bylaw 264 is killed by the pro KIP trustees after receiving the legal opinion. Bitten claims the 12 points raised by UBID’s lawyer “…would be expensive since we already have bylaw 176 in place.” https://drive.google.com/file/d/1_qEeY_v73J1tGmDovntrv02y_BvC_12C/view


