The reason we end up with lousy representatives is because they believe if they don’t hear from you, they assume they are doing a great job. So the ‘small group’ they are referring to consists of individuals who speak up and ask questions. They believe the entire rest of the community fully supports them because it’s ‘always the same people’ and no one else is complaining. They think being asked UBID questions is a waste of time and just don’t bother anymore. You need to tell them because they didn’t get your message when you voted!
Landowners are starting to take action. The following email is circulating. Contact Faganello – she created this mess and has allowed the dysfunction to continue refusing to step in.
Good morning all,
Union Bay chair confirms lame-duck trustees still working as trustees, despite election results…TIME FOR ACTION
https://www.mycomoxvalleynow.com/53535/union-bay-chair-confirms-lame-duck-trustees-still-working-as-trustees-despite-election-results/
…TIME FOR ACTION
Contacting the following phone and send a email, then document who you talked too and time, date and response.
Tara Faganello Assistant Deputy Minister <tara.faganello@gov.bc.ca>
250-356-6575
Selena Robinson Ministry of Community, Sport and Cultural Development Local Government Division <MAH.Minister@gov.bc.ca>
250 387-2283
Scott Fraser Minister of Indigenous Relations and Reconciliation scott.fraser.mla@leg.bc.ca
250-720-4515 or toll free 1-866-870-4190
https://www.bcombudsperson.ca/documents/letting-public open the complaint button on the top of the page…nothing new for Union Bay (2014)
https://www.bcombudsperson.ca/complaints
Democracy demands action
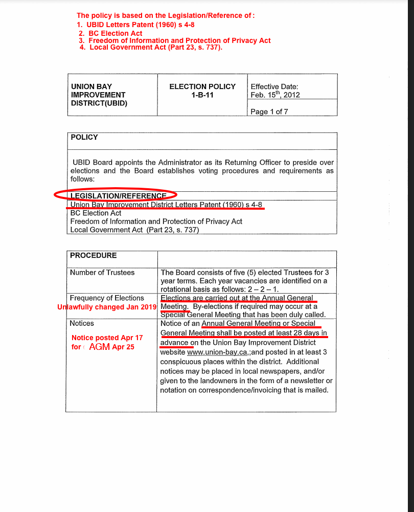
The document underlined in red below is from the Trustees Handbook. https://www2.gov.bc.ca/assets/gov/british-columbians-our-governments/local-governments/governance-powers/improvement_district_trustees_handbook.pdf You will notice it references the time period to hold the AGM is established in each Improvement District’s Letters Patent. We heard a lot about the Letters Patent over the years and it appears to be the bible when it comes to UBID.
It also states the AGM is usually between January 1 and May 1 with no legislative authority to be excepted from this requirement – even if Chair Haraldson thinks otherwise.

If you go the the UBID website under ‘bylaws and policies’ you will find the following with this link: https://drive.google.com/file/d/1veIlw7pCeqsTrqC9JJLZAKHQ8LNglTaF/view

How can this board be so ignorant? Are they unable to grasp what is written? Red emphasis by me.


