Check Paul’s blog for more… http://newdaysinunionbay.com/2019/12/12/union-bay-improvement-district-elects-new-chair-and-swears-in-new-elected-trustee/
Sorry, I was a few minutes late to the meeting and missed newly elected Trustee Ian Munro’s swearing in.
NOTE: Chair Vandenberg confirmed there will be a board meeting Dec. 19, 2019, and will allow questions from landowners.
Regarding the conversion study, there is to be a member of UBID Board of Trustees on the advisory/study group and thankfully, we will have Ian Munro representing UBID instead of mrknowitall who wanted the position. Let’s get this done and join the CVRD – if only because this form of government is antiquated/outdated and ripe for corruption.
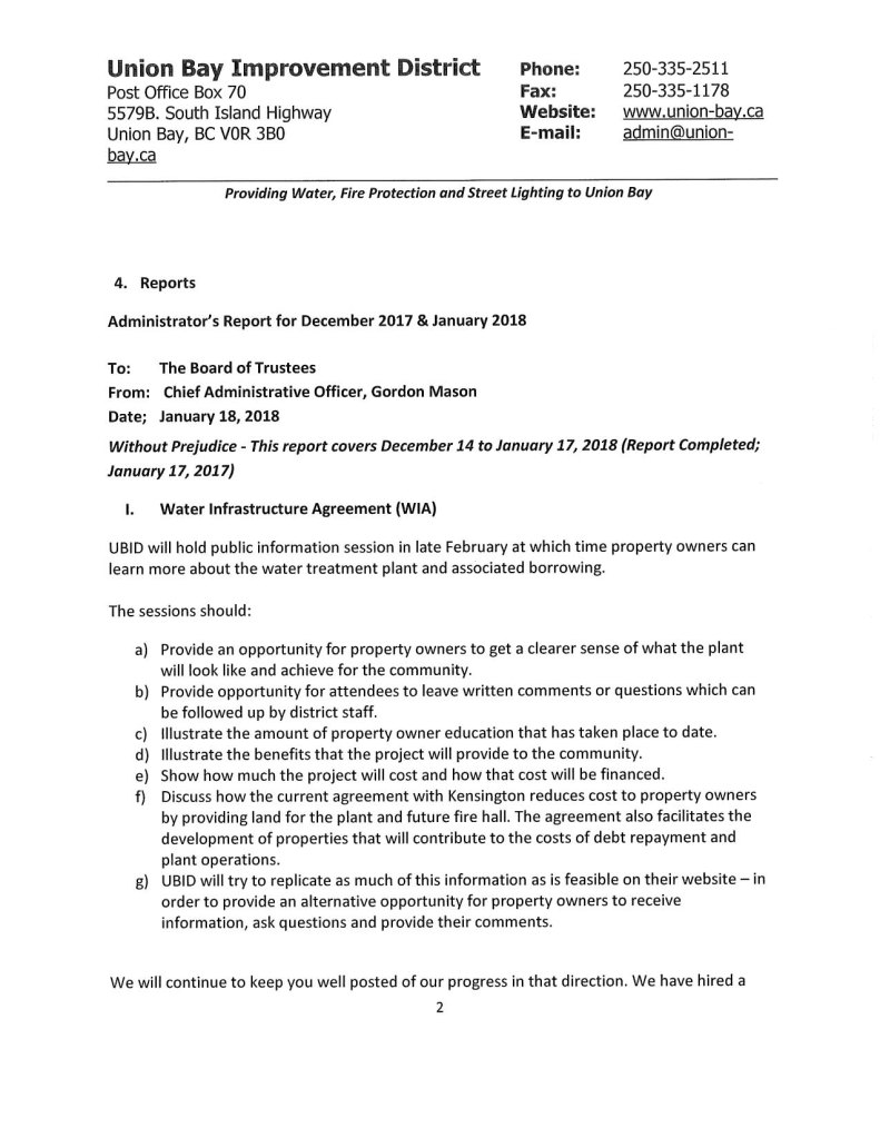
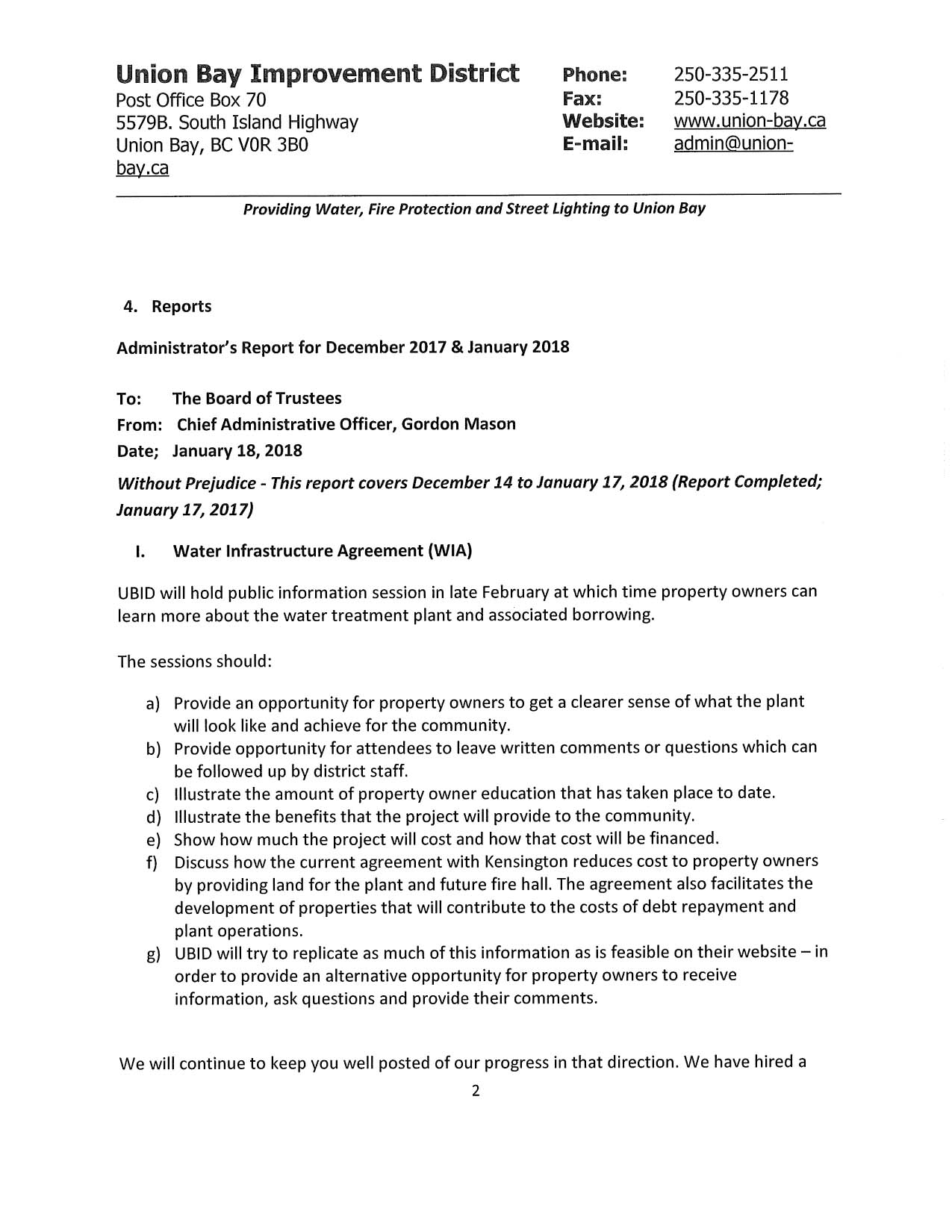
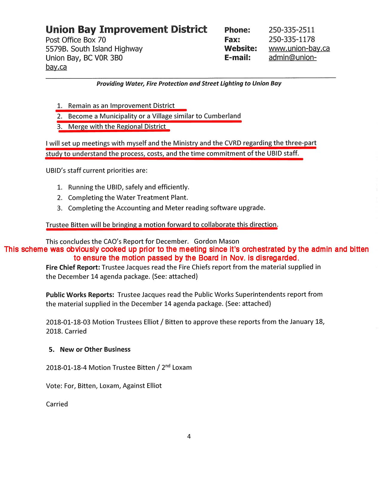
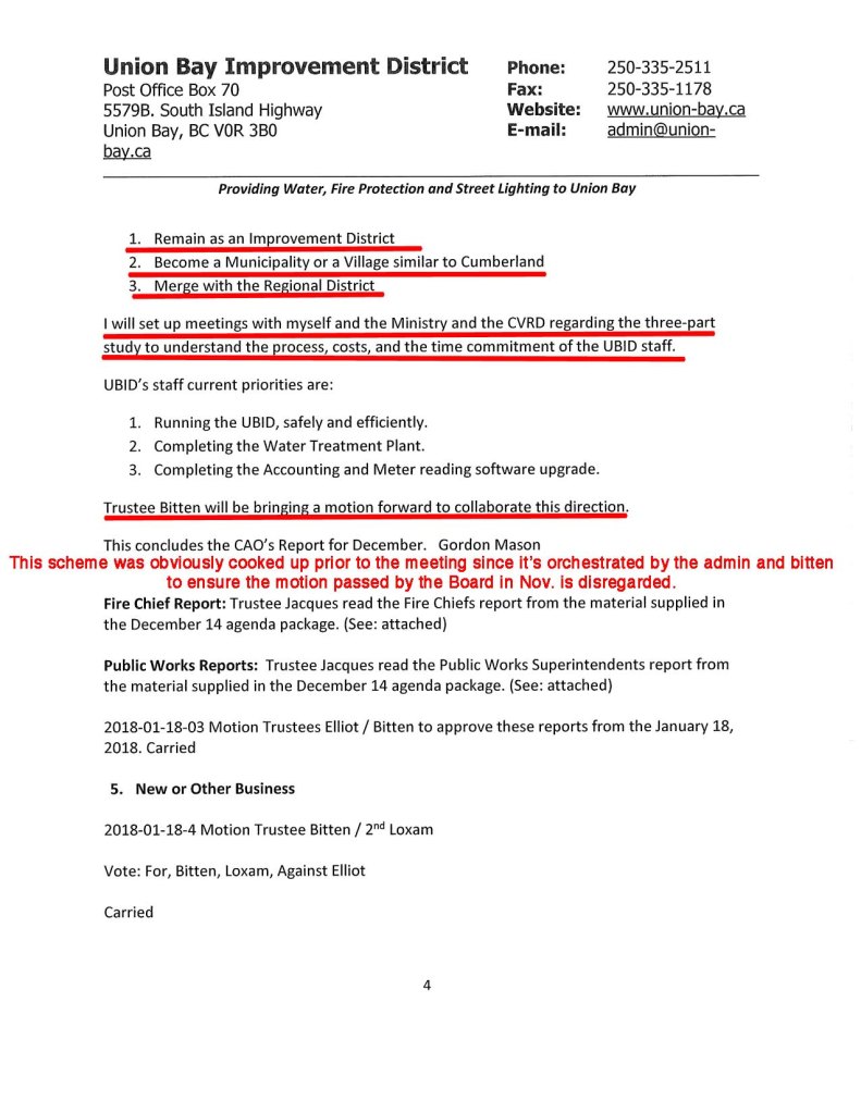
You really have to wonder if some of these characters actually remember what they have stated previously. Remember when mrknowitall put forth a motion in Jan. 2018 basically killing the motion passed at the Nov. 2017 meeting to write a letter to the CVRD regarding the pros and cons of conversion? Check the minutes from the Jan. 2018 meeting showing the coordination that obviously took place before the meeting by the admin and a trustee.
From the Nov. 2017 meeting minutes (entire 17 minute discussion erased supposedly by accident) showing Kaljur’s motion and that it passed. Listen to the reasons why mrknowitall doesn’t want the letter sent.
The board attempted to change the motion at the Dec. 2017 COW meeting but didn’t succeed because they were trying to screw with the rules. So instead, they pretended the previous motion didn’t exist. https://drive.google.com/file/d/1Vz0iTeNiY8U2mYX_wL9ul8jYc33Q9lwz/view

Here’s how they screwed with a board decision a couple didn’t like and figured out a way to screw us. The admin failed to audio or video record the entire January 2018 meeting.








Today we are expected to swallow the new bs which is that the admin shouldn’t have anything to do with the conversion study as now it’s claimed it is a conflict of interest. Another stupid statement just like the one about it being a conflict if someone runs for Trustee and then wants to know the pros and cons of conversion. Just like stating that no matter how many people show up in Union Bay, UBID must provide water – complete bs. Just like the actions taken to try to extend the expired 2011 WIA in Nov. 2016, stating it was a legal document. Just like the ridiculous statement about UBID claiming copyright over their video recorded meetings – absolute bs. There’s lots more but those are off the top of my head.
Now mrknowitall believes it’s the board who should be in control. More bs about how busy the admin is and how much more work the conversion study would take. It’s pretty obvious there are characters who do not want this study to be successful. First, the admin was going to do the study ‘when he had time’ and now the admin shouldn’t have anything to do with it because it’s a conflict. Brainless.
The letter mentioned in the agenda is another grasp at Municipality status. The board is sending a letter to Selena Robinson confirming the actions taken to date BUT they have added a stipulation that if the conversion to the CVRD fails at a referendum, they want a study into municipality/incorporation. When did ‘no’ stop being ‘no’?
Audio only.
